中
/EN
Language
中文
English
网站首页
关于我们
公司简介
发展历程
荣誉资质
我们的优势
产品中心
贴片铝电解电容器
应用领域
产品中心
新产品发布
企业新闻
行业资讯
常见问题
精英招聘
精英招聘
联系我们
联系方式
网站首页
关于我们
公司简介
发展历程
荣誉资质
我们的优势
产品中心
贴片铝电解电容器
应用领域
产品中心
新产品发布
企业新闻
行业资讯
常见问题
精英招聘
精英招聘
联系我们
联系方式
产品中心
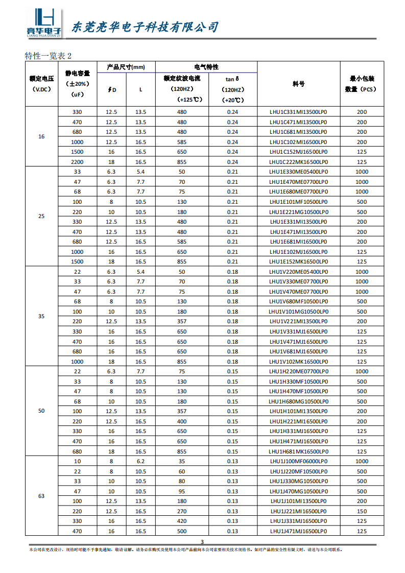
LHU系列
<
>
LHU系列
产品特点:
高温无铅回流焊产品
保证时间:125℃ 1000~2000小时
适用于高温用途
符合RoHS标准
联系电话:
立即咨询
产品详情
上一个:
LHT系列
下一个:
LHV系列
快速导航
关于我们
产品中心
新产品发布
精英招聘
联系我们
推荐新闻